软件工程专业培养方案
执行学院: 好色视频
2019年入学适用 四年制本科生
一、专业培养目标及要求
1.培养目标
培养适应区域经济建设与软件行业发展需要,具有良好的人文素养、社会责任感和国际视野,掌握软件工程专业基本知识和技能,具有软件建模与分析能力、软件体系结构设计、软件过程管理与质量保障能力、软件维护能力、团队协同能力与创新能力,能够在软件工程相关领域从事软件产品的设计、研发、测试、管理、技术服务等工作的应用型高级软件工程人才。
2.培养要求
学生毕业5年左右达到如下要求:
目标1:具有中高级软件工程师的能力,能够综合运用软件工程专业相关知识,解决软件工程领域复杂工程技术问题,能够对复杂软件工程项目提供解决方案。
目标2:能够独立完成软件项目相关任务,具有良好的团队沟通、协调和领导能力,能够在软件相关单位成为软件开发技术骨干或软件项目负责人。
目标3:具有终身学习意识和能力,具有快速信息获取和追踪、学习软件新理论与新技术的能力。
目标4:能够主动适应软件开发国际化环境,能够在跨文化环境下开展软件工程领域相关工作。
目标5:具有良好的人文素养、职业素养和社会责任感,能主动为社会提供软件相关技术服务。
二、毕业要求
通过本专业学习,学生在毕业时应该具备以下能力:
1.工程知识:掌握软件工程专业所需的数学、自然科学、工程基础和专业知识,能将上述知识用于解决软件工程领域的复杂工程问题。
1.1 能够将数学、自然科学、工程科学的语言工具用于表述软件领域工程问题。
1.2能够对具体软件问题建立数学模型并求解。
1.3能够运用相关知识和数学模型方法用于推演和分析软件工程领域具体问题。
1.4能够将相关知识和工程方法用于比较与综合软件工程领域复杂工程问题的求解方案。
2.问题分析:能够应用数学、自然科学和工程科学的基本原理,对软件工程领域复杂工程问题进行识别、建模,并通过文献研究对其进行分析,以获得有效结论。
2.1 能够运用数学、自然科学和软件工程科学的基本原理,识别和判断复杂软件工程问题的关键环节、关键技术。
2.2 能够运用软件工程相关科学原理对软件工程领域复杂工程问题建模、表达。
2.3 能够运用软件工程相关科学原理与模型对软件工程领域复杂工程问题的各种解 决方案进行分析和比较。
2.4 能够通过文献研究等方式分析复杂软件工程问题的影响因素,并获得有效结论。
3.设计/开发解决方案:能够设计针对软件工程领域复杂工程问题的解决方案,设计满足特定需求的软件系统、组件或软件开发流程、模型,能够在设计环节中体现创新意识,并考虑社会、健康、安全、法律、文化以及环境等因素。
3. 1 掌握软件产品设计和开发的全周期、全流程的设计、开发方法和技术,了解影响软件设计目标和技术方案的各种因素。
3.2 能够针对特定软件需求,设计满足指标和要求的软件模块、软件系统、开发流程或建立软件模型。
3.3 在软件设计中能够综合利用软件工程的专业知识和新技术,体现工程创新意识。
3.4 在软件设计中能够考虑社会、健康、安全、法律、文化以及环境等因素。
4.研究:能够基于科学原理并采用科学方法对软件工程领域的复杂工程问题进行研究,包括设计实验、分析与解释数据,并通过信息综合得到合理有效的结论。
4. 1 能够基于科学原理,运用科学方法,调研和分析软件工程领域复杂工程问题的解决方案。
4.2 能够针对不同软件项目特点,设计实验方案,搭建实验平台环境,获取实验数据和结果,并能够对实验数据和结果进行合理分析和解释。
4.3 能够针对软件工程领域复杂工程问题涉及的多个要素,通过信息综合得出合理有效的结论。
5.使用现代工具:能够针对软件工程领域的复杂工程问题,开发、选择与使用恰当的软件技术、资源、现代工程工具和信息技术工具,并据此对软件工程领域复杂工程问题进行预测和模拟,同时能够理解其局限性。
5.1 了解软件工程工程专业常用的主流工具、技术、软件环境的使用原理和方法。
5.2 能够选择与使用恰当的软件工具、技术、信息资源、工程软件,对软件工程领域复杂工程问题进行分析、设计、建模、测试。
5.3 能够针对具体的软件开发对象,开发或选用满足特定需求的软件工具、技术、软件环境,模拟和预测软件工程专业问题。
6 工程与社会:能够基于软件工程相关背景知识进行合理分析,评价专业工程实践和软件工程领域复杂工程问题解决方案对社会、健康、安全、法律以及文化的影响,并理解应承担的责任。
6.1 了解软件工程及相关领域的技术标准体系、知识产权、产业政策和法律法规,理解不同社会文化对软件工程活动的影响。
6.2 针对具体的复杂软件工程问题,能够合理地分析和评价解决方案对社会、健康、安全、法律以及文化的影响,并理解应承担的责任。
7.环境和可持续发展:理解和评价针对软件工程领域复杂工程问题的工程实践对环境、社会可持续发展的影响。
7.1 能够理解软件工程活动与环境和可持续发展的关系,了解软件工程领域有关环境和可持续发展等方面的基本方针、政策和法律、法规。
7.2 能够理解和评价针对复杂软件工程问题的工程实践对环境、社会可持续发展的影响。
8.职业规范:具有人文社会科学素养和社会责任感,能够在软件工程实践中理解并遵守职业道德和规范,履行责任。
8.1 了解国情,理解社会主义核心价值观,具有良好的人文社会科学素养和社会责任感,树立正确的人生观、世界观、价值观。
8.2 理解软件工程技术的社会价值以及软件工程师的社会责任,在软件工程实践中能自觉遵守职业道德和规范,履行责任。
9.个人和团队:能够在多学科背景下的软件研发团队中承担个体、团队成员以及负责人的角色。
9.1 能够在多学科背景下理解团队的意义,理解软件研发团队的构成以及不同角色成员的职责。
9.2 能够在软件研发团队中承担个体、团队成员以及负责人的角色,具备良好的团队合作精神。
10.沟通:能够就软件工程领域复杂工程问题与业界同行及社会公众进行有效沟通和交流,包括撰写报告和设计文稿、陈述发言、清晰表达或回应指令等,并具备一定的国际视野,能够在跨文化背景下进行沟通和交流。
10.1 能够撰写软件过程相关报告和设计文稿,具有陈述发言、清晰表达或回应指令的基本沟通技能。
10.2 能够就软件工程领域复杂工程问题,与业界同行及社会公众进行有效交流和沟通,并做出清晰回应。
10.3 了解软件工程领域的国际发展状况,理解和尊重不同文化的差异性和多样性,至少掌握一门外语,能够在跨文化背景下进行与软件研发相关的信息沟通和交流。
11.项目管理:理解并掌握软件工程项目管理原理与软件工程经济决策方法,并能在多学科环境中应用。
11.1 能够理解并掌握软件工程过程管理原理与软件工程经济决策方法。
11.2 能够在多学科环境下,在设计软件系统解决方案过程中,运用软件过程管理原理与软件工程经济决策方法。
12.终身学习:具有自主学习和终身学习意识,具有不断学习和适应软件工程发展的能力。
12.1 能够自主和终身学习软件工程领域相关知识、技术等,能够具备科学的锻炼与运动方法、拥有健康的体质为不断学习提供身体保障。
12.2 具有不断学习、自我完善能力和适应软件工程领域相关知识、技术等不断发展的能力,具备工程技术理解能力、归纳总结能力和提出问题的能力,支撑终身学习。
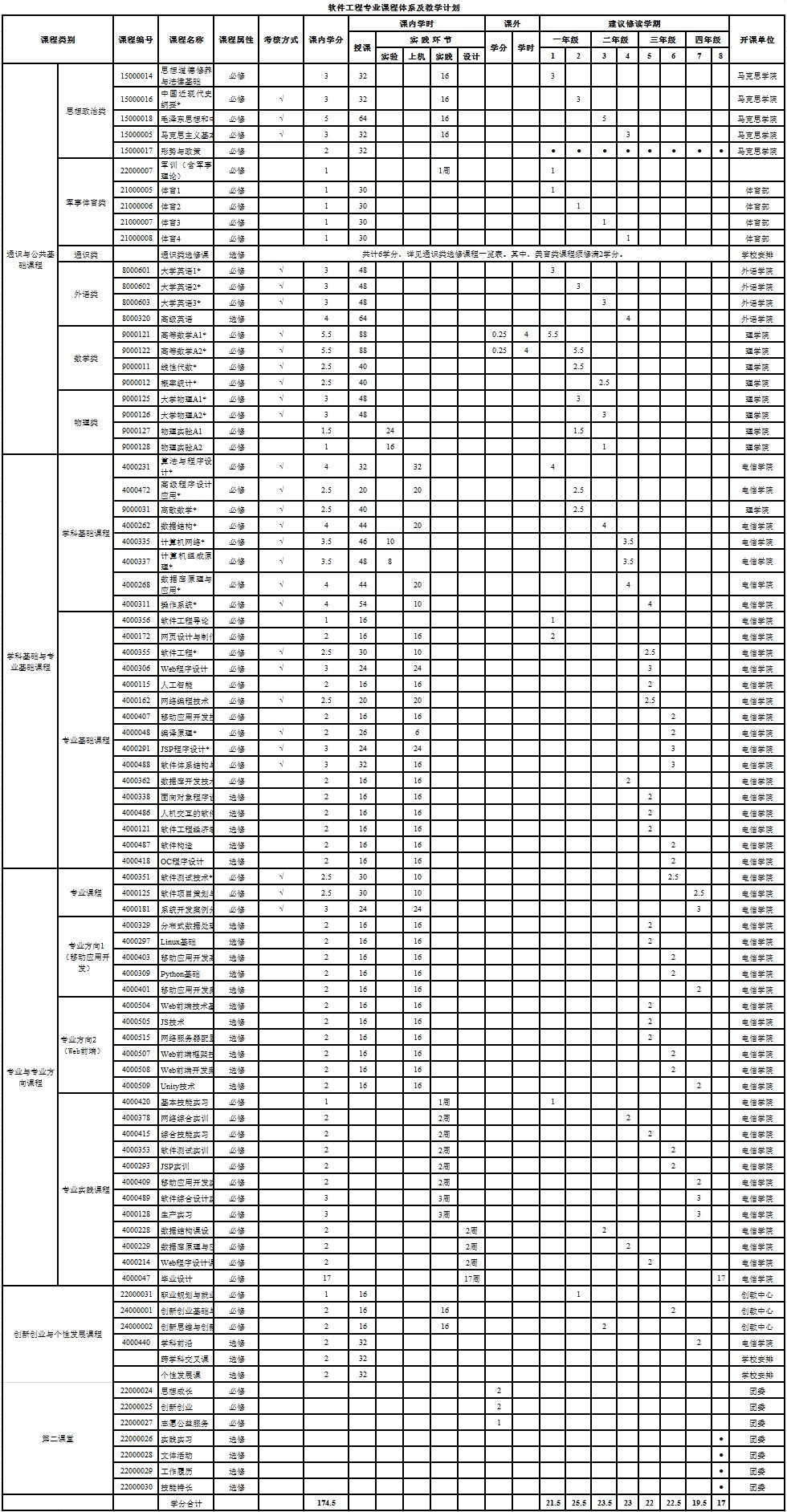
三、毕业学分要求
课程体系
|
比例%
|
学分要求
|
授课
|
实践
|
必修
|
选修
|
合计
|
通识与公共基础课程
|
思想政治类
|
5.8
|
2.3
|
14
|
|
58.5
(美育类选修课程须修满2学分)
|
军事体育类
|
2.3
|
0.6
|
5
|
|
通识类
|
3.5
|
|
|
6
|
外语类
|
5.2
|
|
9
|
|
数学类
|
9.2
|
|
16
|
|
物理类
|
3.4
|
1.4
|
8.5
|
|
学科基础与
专业基础课程
|
学科基础课程
|
11.0
|
4.1
|
28
|
|
57
|
专业基础课程
|
10.9
|
6.7
|
23
|
6
|
专业与专业方向课程
|
专业课程
|
3.2
|
1.3
|
8
|
|
56
|
专业方向模块课程
|
2.3
|
2.3
|
|
8
|
专业实践课程
|
|
23.0
|
40
|
|
创新创业与个性
发展课程
|
职业规划与就业指导
|
0.6
|
|
1
|
|
3
|
创业基础
|
1.1
|
|
|
2
|
创新思维与创新方法
|
|
2
|
学科前沿
|
|
2
|
跨学科交叉课
|
|
|
|
2
|
计入通识类
|
个性发展课
|
|
|
|
2
|
第二课堂
|
大学生健康教育
|
|
|
2.5
|
|
9.5(选修项,不计入总学分,每项最多限修2学分)
|
思想成长
|
|
|
1
|
|
创新创业
|
|
|
2
|
|
实践实习
|
|
|
|
●
|
志愿公益服务
|
|
|
|
●
|
文体活动
|
|
|
|
●
|
工作履历
|
|
|
|
●
|
技能特长
|
|
|
|
●
|
合计
|
58.1
|
41.7
|
152.5
|
22
|
174.5
|
四、授予学位
工学学士学位
五、主干学科
软件工程、计算机科学与技术
六、专业核心课程
算法与程序设计、离散数学、数据结构、数据库原理与应用、操作系统、计算机组成原理、计算机网络、软件工程、编译原理、软件项目策划与管理、软件测试技术、软件体系结构与设计、系统开发案例分析等。
七、专业课程体系及教学计划

八、课程体系配置图